
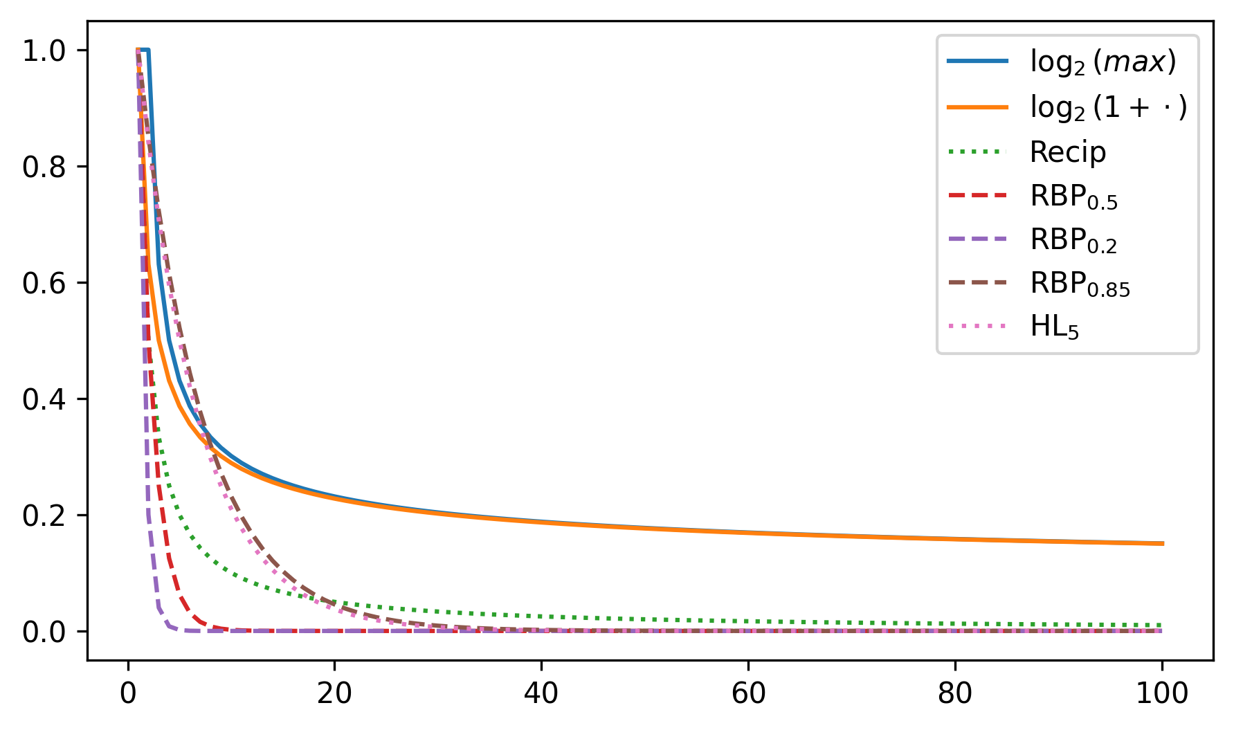
Rank-Biasing Attention Models
Rank-discounted metrics weigh recommended items by their ranking position using a discount or position attention (or exposure) model approximating the amount attention users pay to different ranking positions. Some metrics have a model inherent to their design, while others (such as RBP) have pluggable attention models.
This document describes the behavior of those attention models.
Core Attention Models
- Logarithmic discounting (typically base-2, used in NDCG)
- Reciprocal rank (used by MRR)
- Geometric cascade (default for RBP, which is reconfigurable)
